• Welcome to อบต.แม่ต้าน.
 

สรุปผลการจัดซื้อจัดจ้าง หรือการจัดหาพัสดุรายเดือน ประจำปีงบประมาณ พ.ศ.2569

Started by Maetan, Apr 22, 2026, 09:54 PM

Previous topic - Next topic

0 Members and 1 Guest are viewing this topic.

Maetan

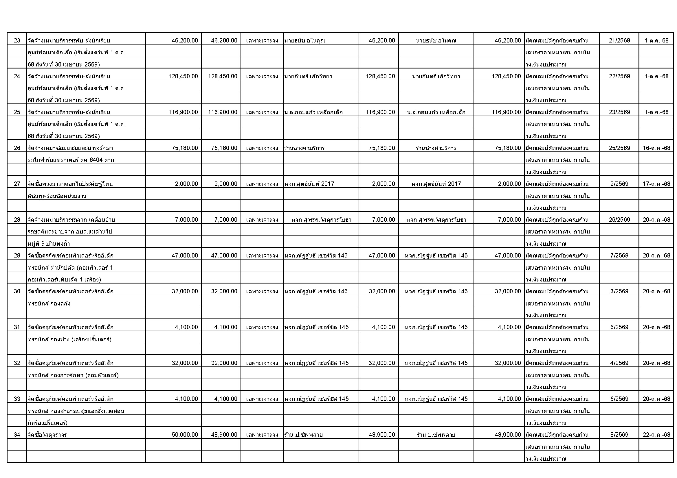
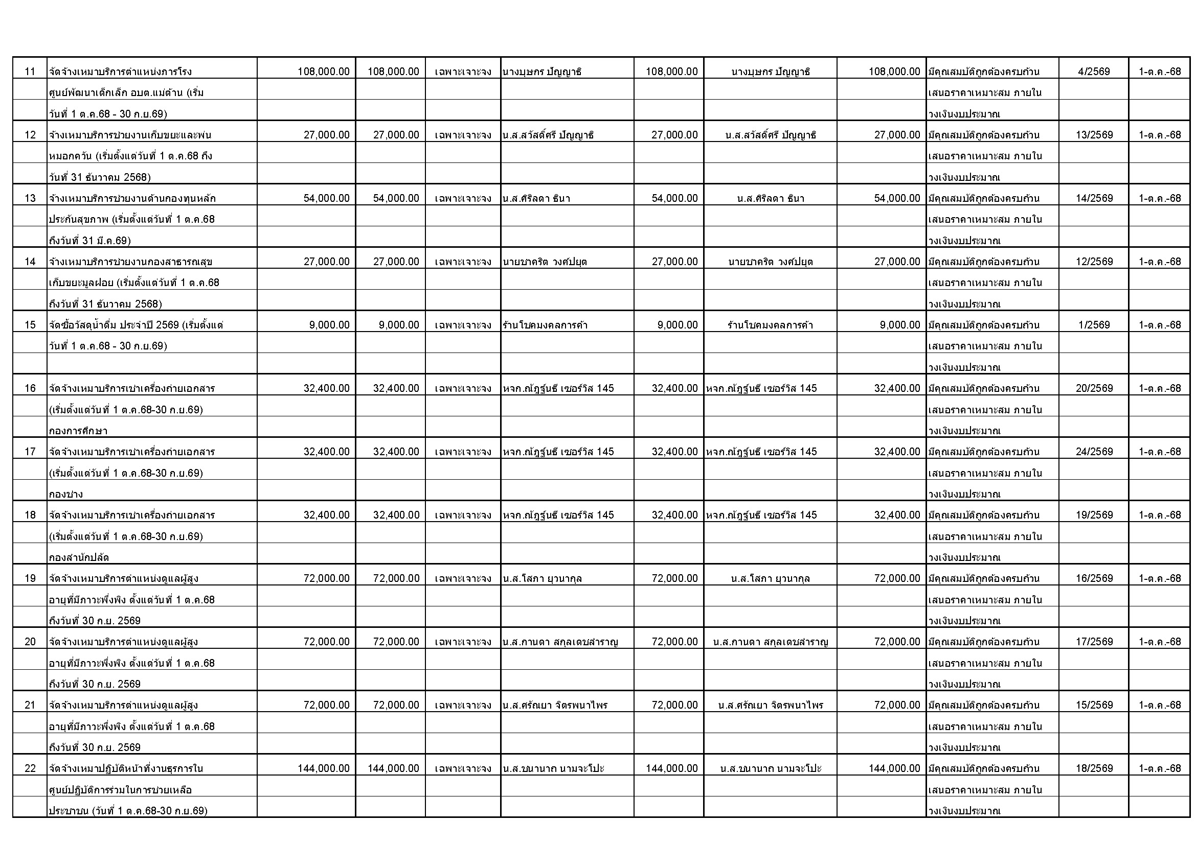
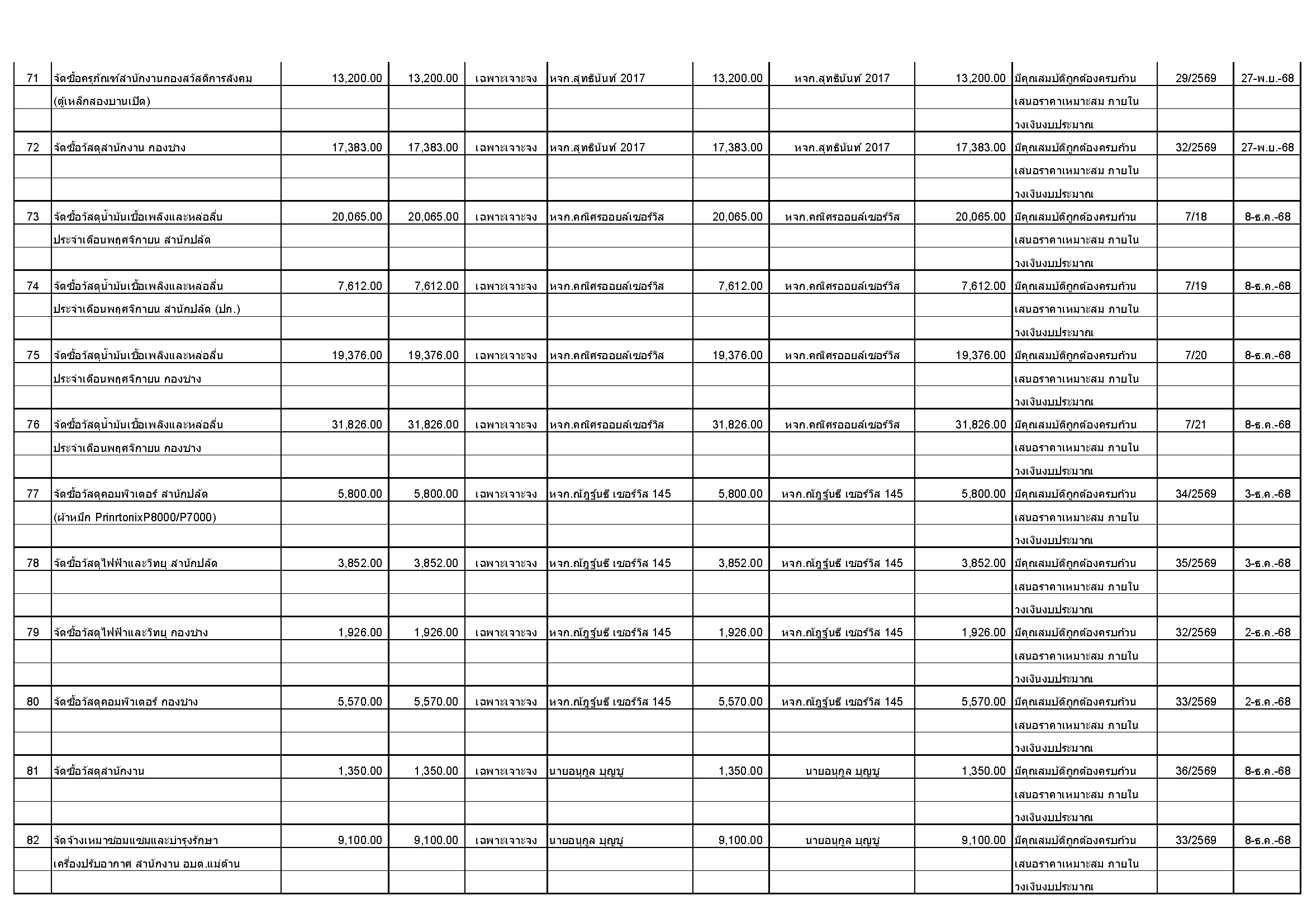
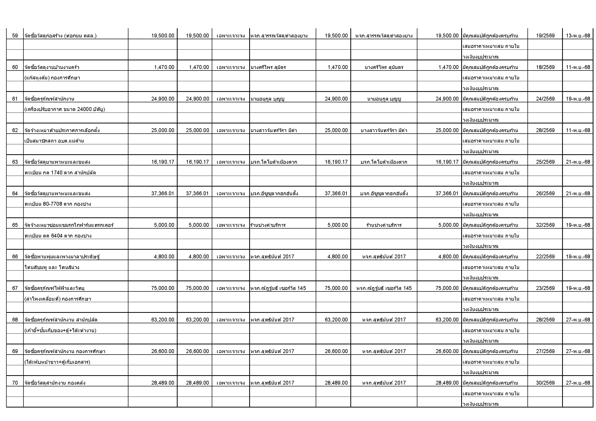
สรุปผลการจัดซื้อจัดจ้าง หรือการจัดหาพัสดุรายเดือน ประจำปีงบประมาณ พ.ศ. 2569 (แบบ สขร.1)

 
องค์การบริหารส่วนตำบลแม่ต้าน
อำเภอท่าสองยาง จังหวัดตาก



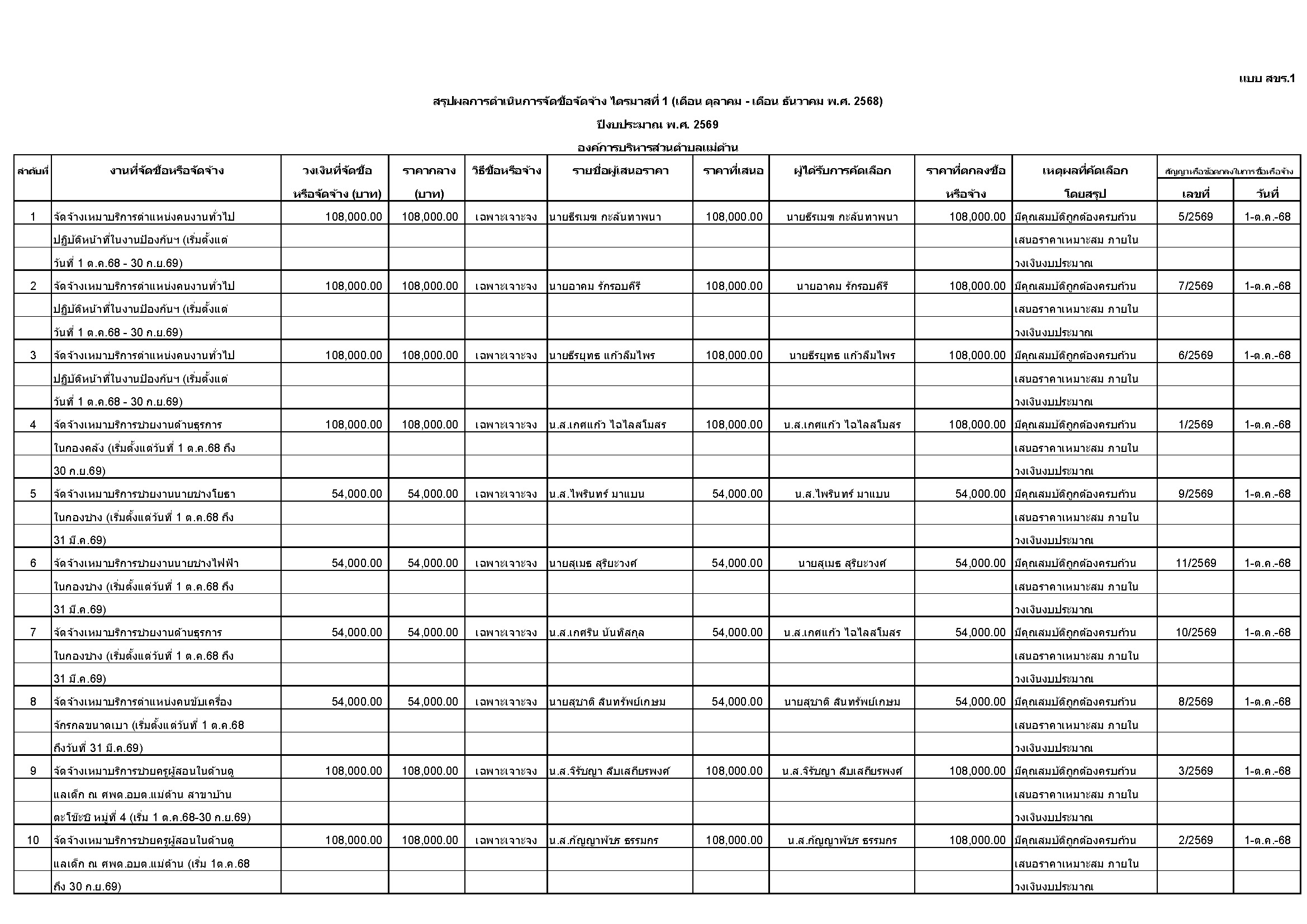
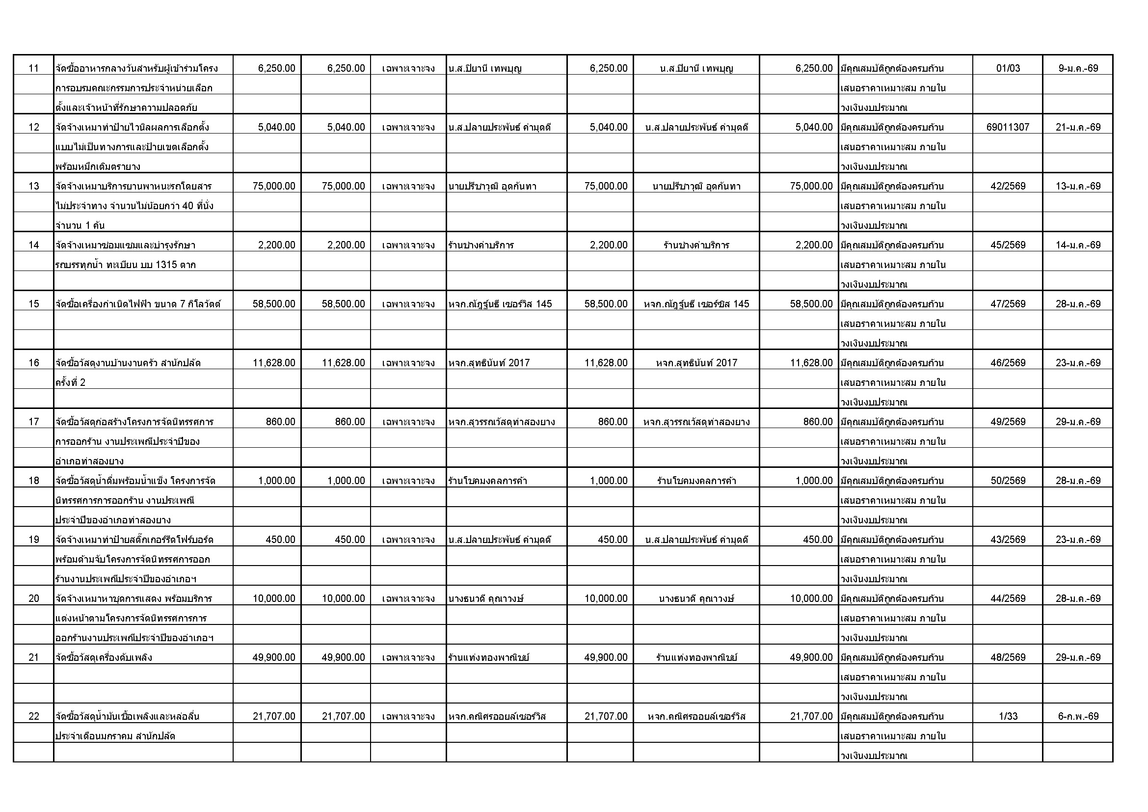
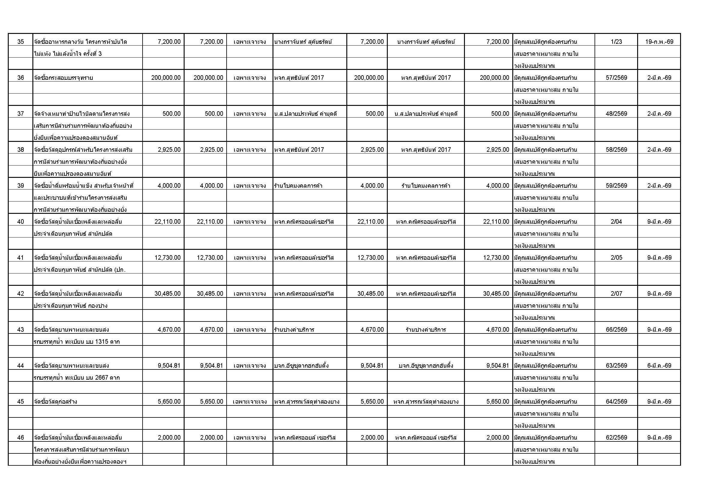
เปิดไฟล์ PDF สรุปการจัดซื้อจัดจ้าง ปีงบประมาณ พ.ศ. 2569 ไตรมาสที่ 1
https://www.maetanlocal.go.th/File/ITA-2569/ITA-O11-Trimas1-edit1.pdf



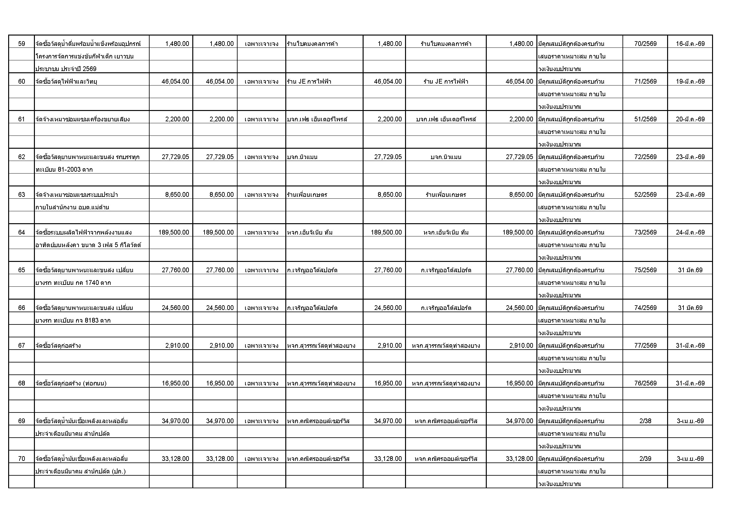
เปิดไฟล์ PDF สรุปการจัดซื้อจัดจ้าง ปีงบประมาณ พ.ศ. 2569 ไตรมาสที่ 2
https://www.maetanlocal.go.th/File/ITA-2569/ITA-O11-Trimas2-edit1.pdf


Maetan

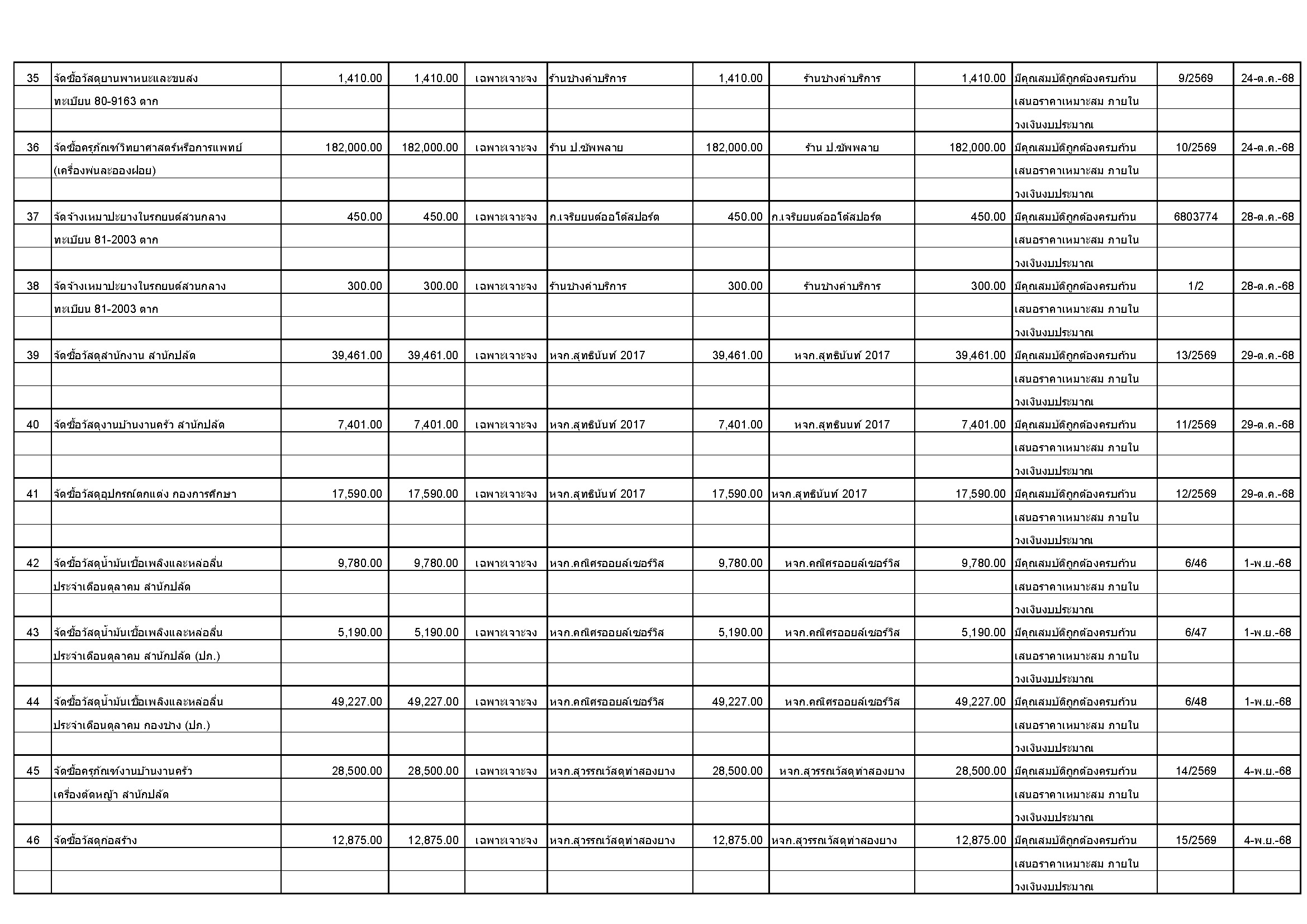
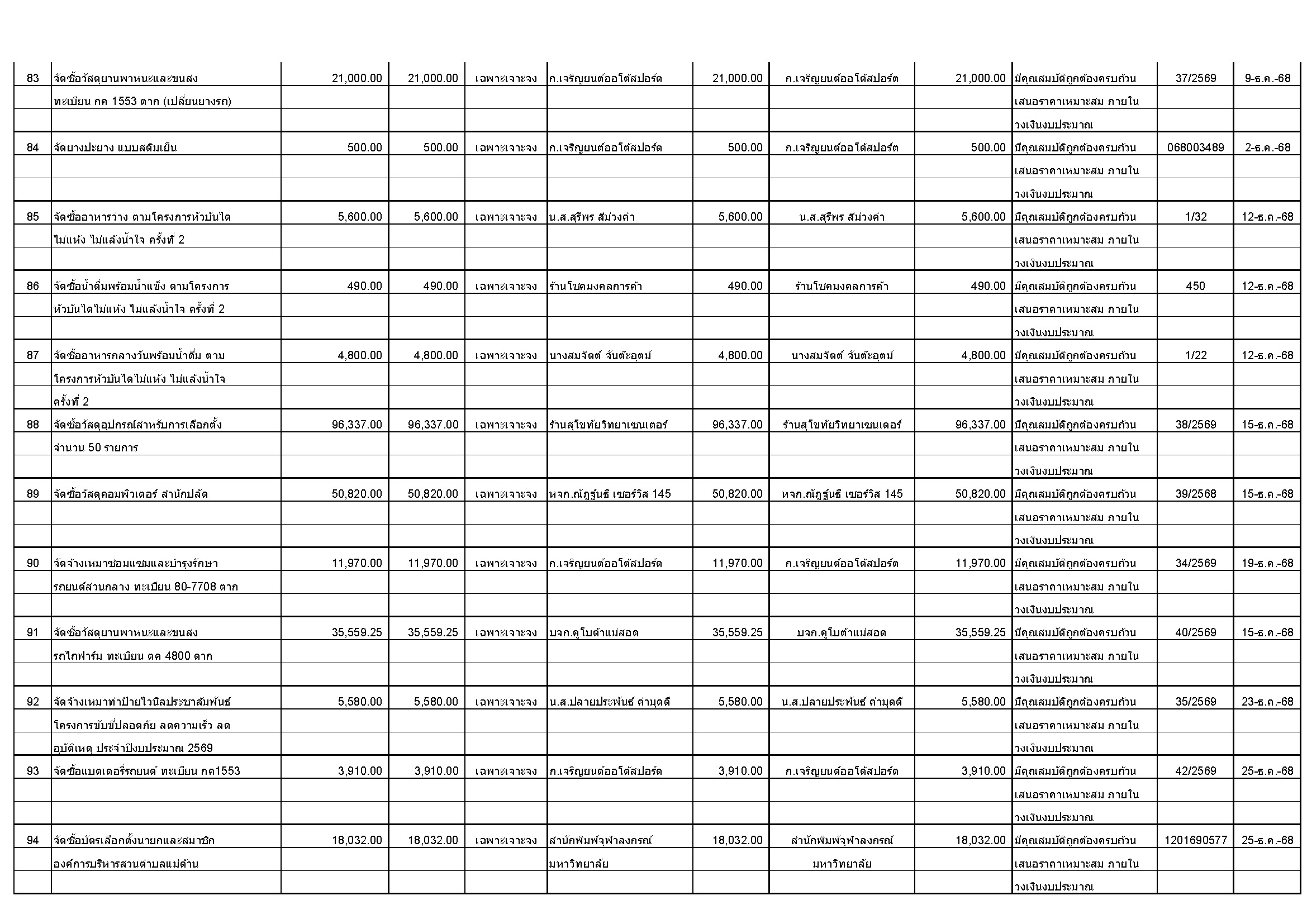
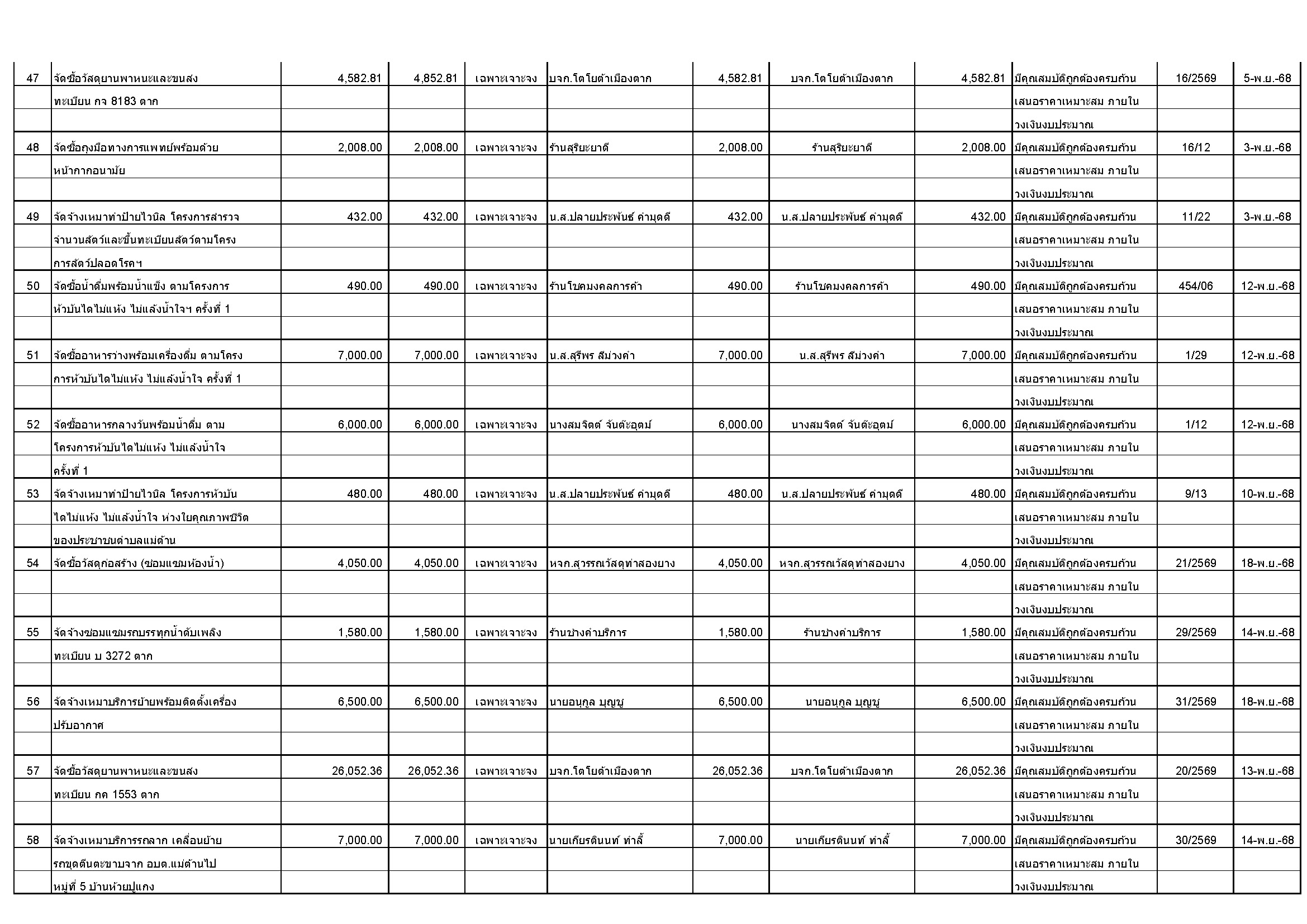
สรุปการจัดซื้อจัดจ้าง ปีงบประมาณ พ.ศ. 2569 ไตรมาสที่ 1 (เดือน ตุลาคม - เดือน ธันวาคม พ.ศ. 2568)



















Maetan

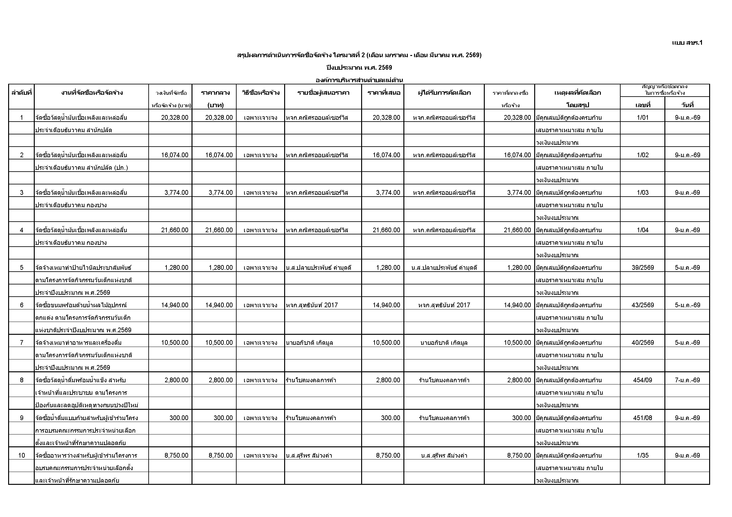
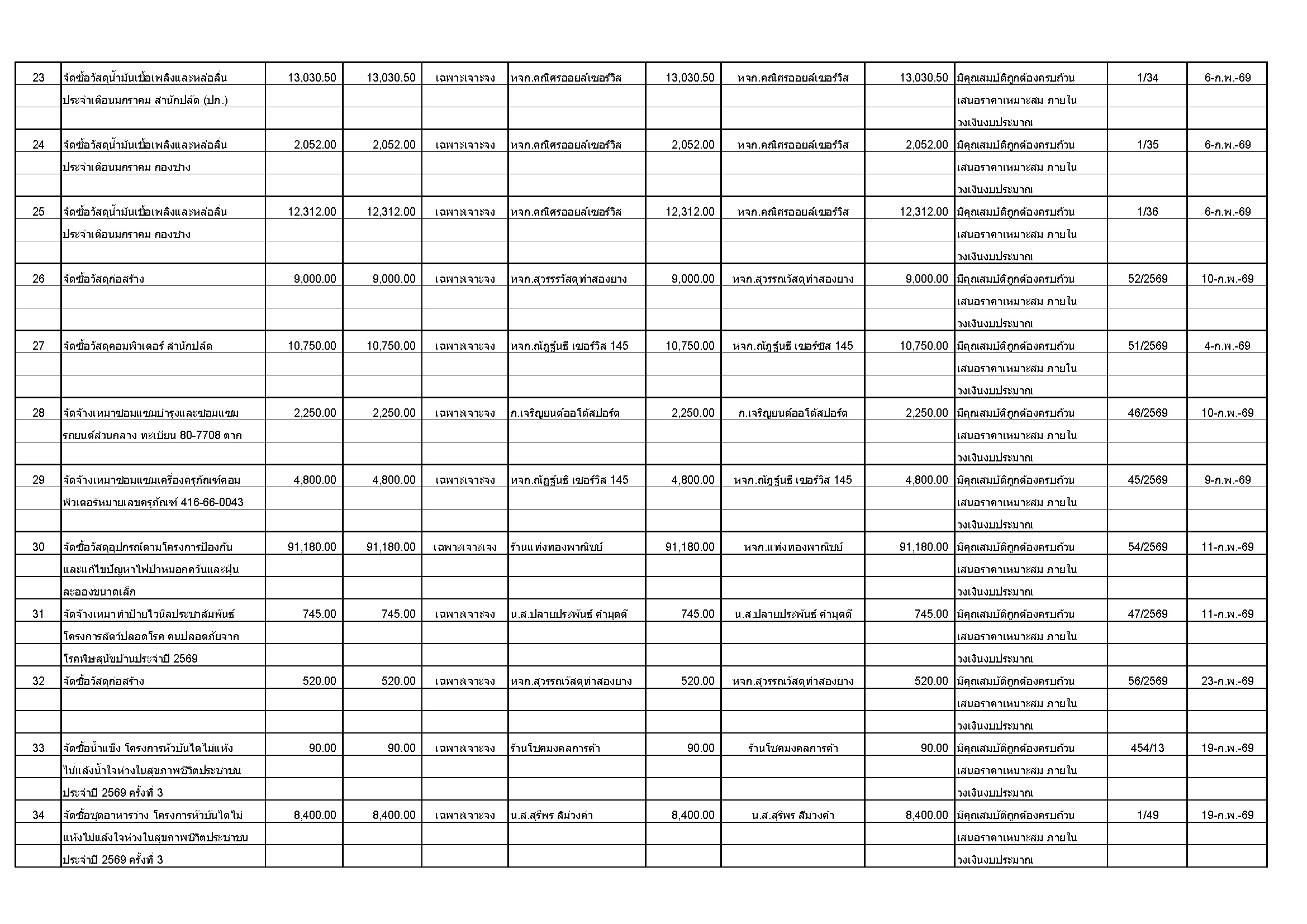
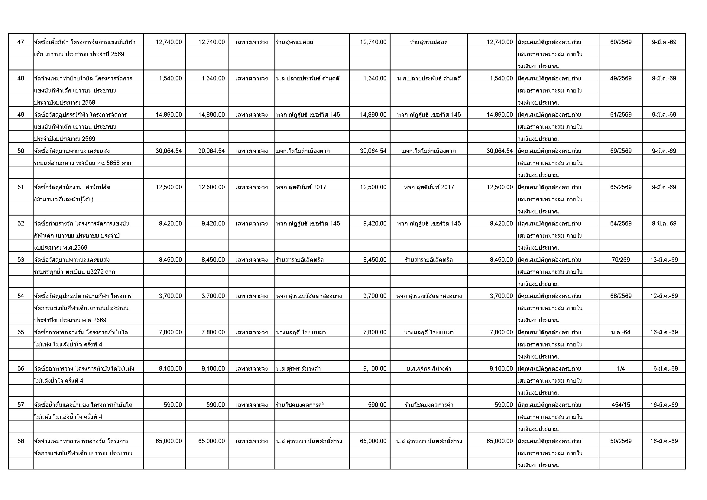
สรุปการจัดซื้อจัดจ้าง ปีงบประมาณ พ.ศ. 2569 ไตรมาสที่ 2 (เดือน มกราคม - เดือน มีนาคม พ.ศ. 2569)